Son zamanlarda, Çin Bilimler Akademisi (IOCS) Oşinografi Enstitüsü'nden Xin Zhang'ın araştırma ekibi, Raman spektrumlarındaki önemli farktan yararlanarak, yerinde lazer Raman spektroskopisine dayalı olarak metan karbon izotoplarının yerinde tanımlanması ve miktarının belirlenmesinde yeni bir ilerleme kaydetti. metan karbon izotoplarının (13CH4 ve 12CH4) analizi ve ilgili sonuçlar yakın zamanda uluslararası spektroskopi dergisi Spectrochimica Acta Bölüm A: Moleküler ve Biyomoleküler Spektroskopi'de yayınlandı.
Derin deniz hidrotermal sistemleri, erken yaşamın kökenini incelemek için önemli olan benzersiz kemosentetik biyomları besleyen büyük miktarlarda CH4, H2 ve diğer indirgeyici gazları serbest bırakır. Bununla birlikte, bu kadar yüksek metan konsantrasyonunun kaynağı hala tartışmalıdır; örneğin Rainbow'un süper MgFe hidrotermal sistemindeki metan konsantrasyonu, su-kaya reaksiyonunun metan veriminden çok daha yüksek olan 2,5 mmol/kg kadar yüksektir. CH4'ün karbon izotop bileşimi, biyojenik ve abiojenik metan arasında ayrım yapmak için güçlü bir araçtır, ancak mevcut deneysel teknikler ve karbon izotop değeri test yöntemleri, metan verimini laboratuvardan hariç tutmak için kullanılamaz. Ancak mevcut deneysel teknikler ve karbon izotop değeri test yöntemleri, deneysel güvenilirliği büyük ölçüde etkileyen arka plandaki karbon kaynaklarının etkisini dışlayamamaktadır. Son yıllarda, yerinde Raman spektroskopisinin hızlı gelişimi, gaz izotoplarının yerinde belirlenmesini mümkün kılmıştır, ancak yüksek sıcaklık ve yüksek basınçlı hidrotermal sistemler altında metan karbon izotoplarının Raman spektroskopik çalışmaları hala eksiktir.
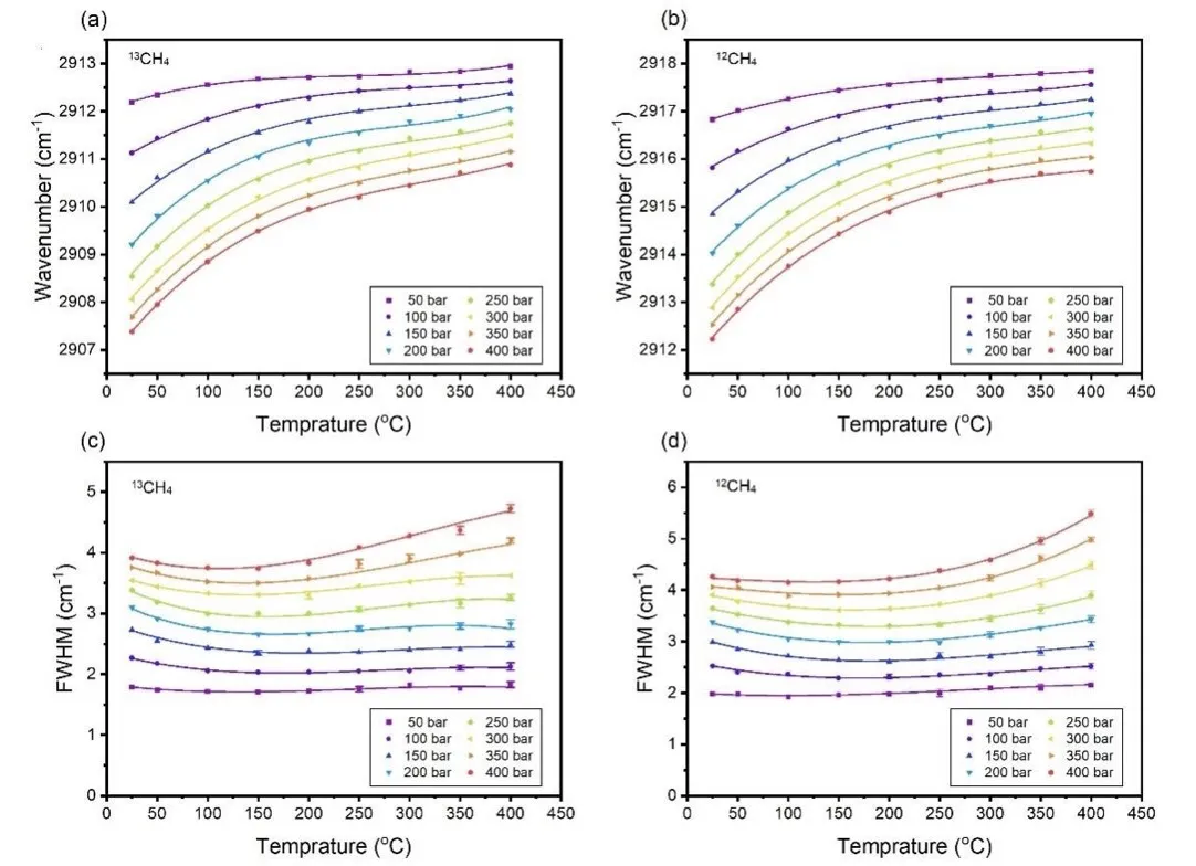
Yukarıdaki sorunları ele almak için araştırma ekibi, yüksek sıcaklık ve yüksek basınçta (25-400oC, {{8) saf CH4 sistemi ve CH4-H2O sistemindeki 13CH4 ve 12CH4'ün Raman spektral özelliklerini sistematik olarak araştırdı. }} bar) kılcal yüksek basınçlı şeffaf bir boşluk kullanılarak. 13CH4'ün karakteristik piklerinin 2907cm-1-2912cm-1 aralığında olduğu, sıcaklığın artması ve basıncın azalmasıyla daha düşük dalga sayılarına doğru hareket ettiği, piklerin ise 2907cm-1-2912cm-1 aralığında olduğu gösterildi. 12CH4'ün karakteristik zirveleri 2912cm-1 -2917 cm-1 aralığındaydı; bu, aynı sıcaklık ve basınç altında her zaman 13CH4'ten 4,6-5,1 cm-1 daha yüksektir. bu da ikisinin Raman spektroskopisi ile iyi bir şekilde ayırt edilebileceğini gösterir (Şekil 1). Ek olarak araştırma ekibi ayrıca sulu çözeltilerdeki 13CH4 ve 12CH4 konsantrasyonları için Raman kantitatif kalibrasyon modelleri de oluşturdu (Şekil 2), bu da çözünmüş 13CH4 ve 12CH4 için Raman kantitatif kalibrasyon modellerindeki farklılıkların, Suyun molar yoğunluğundaki değişikliklerden veya çözünmüş 13CH4 ve 12CH4'ün Raman saçılım kesitlerinden ziyade çözünmüş 13CH4 ve 12CH4'ün Raman saçılım kesitleri. İlgili araştırma sonuçları, yüksek sıcaklık ve yüksek basınçlı hidrotermal deneylerde ve derin deniz yerinde keşiflerde geniş bir uygulama beklentisine sahip olan metanın karbon izotop bileşiminin yerinde tanımlanması ve niceliksel analizi için güçlü bir destek sağlamaktadır.
Makalenin ilk yazarı, Çin Bilimler Akademisi Oşinografi Enstitüsü'nde doktora öğrencisi olan Yuzhou Ge ve makalenin sorumlu yazarı araştırmacı Xin Zhang'dır. Bu araştırma, Çin Ulusal Doğa Bilimleri Vakfı ve Çin Bilimler Akademisi'nin A Sınıfı Stratejik Pilot Programı tarafından ortaklaşa finanse edildi.
İlgili sonuçlar ve bağlantılar aşağıdaki gibidir:
Ge, Y., Li, L., Xi, S., Zhang, Y., Luan, Z. ve Zhang, X., 2023, 25 ila 400 derece arasında 13CH4 ve 12CH4 arasında Raman spektral özelliklerinin ve kantitatif yöntemlerin karşılaştırılması ve 50 ila 400 bar: Spectrochimica Acta Bölüm A: Moleküler ve Biyomoleküler Spektroskopi, s. 123380.

Şekil 1 Farklı sıcaklık ve basınçlarda 13CH4 ve 12CH4'ün karakteristik piklerinin tepe konumları ve yarı yüksekliği ve tam genişliği.

Şekil 2 Suyun OH bükülme titreşim bantlarına (a) ve gerilme titreşim bantlarına (b) dayanan 13CH4 ve 12CH4'ün Raman kantitatif kalibrasyon modelleri





